Cronograma de Desembolso - Orçamento - Acompanhamento
MANUAL DO USUÁRIO
CRONOGRAMA DE DESEMBOLSO - Acompanhamento
Agora é possível realizar o acompanhamento do cronograma de Desembolso com base nos valores orçados dentro da LOA no módulo Planejamento ou na execução orçamentária se assim desejar.
Os valores de base de cálculo serão pela Previsão inicial, Previsão Atualizada ou Realizado.
O Acompanhamento do Cronograma será realizado pelo Módulo Orçamento.
RECEITAS
No primeiro acesso ao acompanhamento do Cronograma no módulo Orçamento serão buscados os dados das projeções realizadas no Módulo Planejamento conforme a LOA exportada para o Orçamento, ou seja, conforme a previsão inicial do ano. Pode-se optar por continuar a utilização pela previsão inicial, ou recalcular conforme a previsão atualizada ou ainda pelo valor realizado do exercício (no caso da receita, o arrecadado).
A rotina de manutenção foi feita para algum registro a ser editado, como por exemplo, ao invés de deixar a receita dividida entre os 12 meses do ano, alocar o valor da meta anual em apenas um mês.
FINANCEIRO > Orçamento > Procedimentos > Avaliação de metas > Receita
O sistema apresentará a tela de conferência e edições:
Para editar os valores do cronograma de desembolso, clique em
na coluna ação.
O sistema já irá trazer os valores alocados aos 12 meses, podendo recalcular, escolhendo colocar todo o valor em um único mês, por exemplo.
Caso o valor não fique distribuído corretamente, o sistema apresentará o total após os 12 meses na cor vermelha, conforme a imagem a seguir:
E não permitirá salvar o cronograma desta receita:
DESPESAS
No primeiro acesso ao acompanhamento do Cronograma no módulo Orçamento serão buscados os dados das projeções realizadas no Módulo Planejamento conforme a LOA exportada para o Orçamento, ou seja, conforme a previsão inicial do ano. Pode-se optar por continuar a utilização pela previsão inicial, ou recalcular conforme a previsão atualizada ou ainda pelo valor realizado do exercício (no caso da despesa, empenhado, liquidado ou pago).
FINANCEIRO > Orçamento > Procedimentos > Avaliação das metas > Despesa
O sistema apresentará a tela de conferência e edições:
Para editar os valores do cronograma de desembolso, clique em
na coluna ação.
Atenção: Clicar em Recalcular Geral, irá reprojetar todos os valores do cronograma de desembolso conforme a base de cálculo selecionada e irá modificar os valores alterados manualmente. Como padrão o sistema dividirá a Base de cálculo por 12.
Tela de edição de um detalhamento da despesa.
Assim como a receita, o sistema não permitirá salvar o cronograma, sem que os valores estejam fechados com a meta anual:
RELATÓRIOS
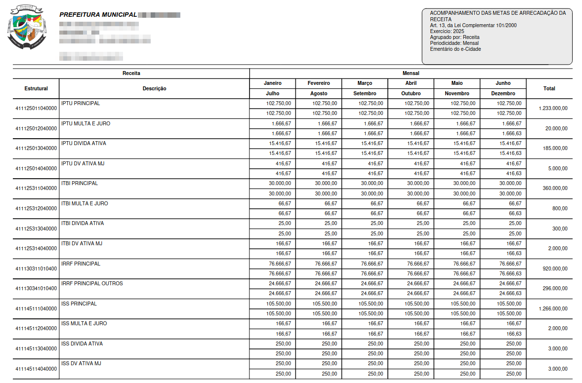
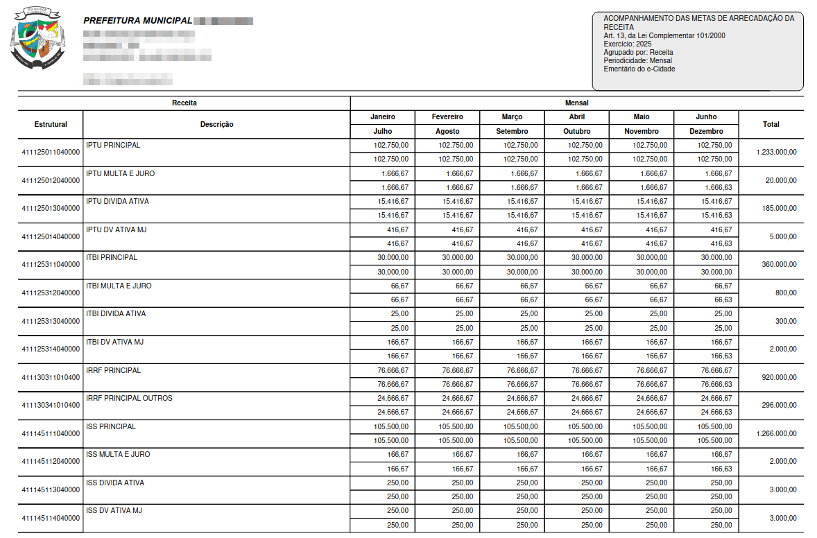
Receita
FINANCEIRO > Orçamento > Relatórios > Acompanhamento do Cronograma > Metas de Arrecadação
O agrupamento pode ser realizado por receita ou por recurso;
A periodicidade pode ser mensal ou bimestral;
Pode ser realizado filtro por recurso (aba filtros).
Serão impressos o formato PDF e por CSV. Basta apenas clicar no link que irá abrir o relatório:
Despesa
FINANCEIRO > Orçamento > Relatórios > Acompanhamento do Cronograma > Cotas Mensais da Despesa
O agrupamento pode ser realizado por órgão, unidade, função, subfunção, programa, projeto/atividade, elemento ou recurso;
A periodicidade pode ser mensal ou bimestral;
Pode ser realizado filtro por de qualquer dado da despesa (aba filtros).
Serão impressos o formato PDF e por CSV. Basta apenas clicar no link que irá abrir o relatório:
Despesas e Receitas
FINANCEIRO > Orçamento > Relatórios > Acompanhamento do Cronograma > Metas de Receita X Cotas de Despesa
O agrupamento pode ser realizado por recurso ou por totalizador geral;
A periodicidade pode ser mensal ou bimestral;
Serão impressos o formato PDF e por CSV. Basta apenas clicar no link que irá abrir o relatório:












