Relatórios de emissão PPA/LDO/LOA
MANUAL DO USUÁRIO
Relatórios dos Planos de Governo
Elaborado por: Núbia Monteiro
Os relatórios demonstrados a seguir, podem ser emitidos para qualquer plano de Governo, seja ele PPA, LDO ou LOA, a diferença será o layout dos valores, que serão 4 anos, 3 anos e 1 ano, respectivamente.
Emissão dos Programas
FINANCEIRO > Planejamento > Relatórios > Demonstrativos > Programas Estratégicos - Temáticos
Para emissão dos Programas Temáticos, acessar o menu e emitir:
Pode-se filtrar por programa e se deseja apresentar os indicadores de resultado das metas; Além disso, pode-se também filtrar por órgão para emissão e também se deseja que seja demonstrado a Regionalização, Produto da Iniciativa e as Metas físicas das Iniciativas.
Os dados serão demonstrados na seguinte ordem:
1 - Programa (para alterar dados impressos acesse: FINANCEIRO > Planejamento > Procedimentos > Manutenção > Despesa > Programa Estratégico)
Área de Resultado - a área de resultado só aparecerá logo abaixo do programa quando os mesmos forem vinculados no menu: FINANCEIRO > Planejamento > Procedimentos > Manutenção > Despesa > Vínculos > Área de Resultado com os Programas Estratégicos
1.1 - Indicadores do Programa (para alterar dados impressos acesse: FINANCEIRO > Planejamento > Procedimentos > Manutenção > Despesa > Programa Estratégico - aba "Indicadores")
1.2 - Órgãos responsáveis (para alterar dados impressos acesse: FINANCEIRO > Planejamento > Procedimentos > Manutenção > Despesa > Programa Estratégico - aba "Órgão")
1.3 - Objetivos dos programas (para alterar dados impressos acesse: FINANCEIRO > Planejamento > Procedimentos > Manutenção > Despesa > Programa Estratégico - aba "Objetivos")
1.3.1 - Metas do Objetivo (para alterar dados impressos acesse: FINANCEIRO > Planejamento > Procedimentos > Manutenção > Despesa > Programa Estratégico - aba "Objetivos" na lista, clicar no ícone "adicionar meta")
1.3.2 - Iniciativas (para alterar dados impressos acesse: FINANCEIRO > Planejamento > Procedimentos > Manutenção > Despesa > Iniciativas)
PDF da emissão dos Programas Temáticos
FINANCEIRO > Planejamento > Relatórios > Demonstrativos > Programas Estratégicos - Gestão PPA
Na emissão dos programas de Gestão, serão demonstrados detalhes dos programas e das iniciativas vinculadas a ele apenas. Pode-se também filtrar o programa ou o órgão para emissão e também se deseja que seja demonstrado a Regionalização, Produto da Iniciativa e as Metas físicas das Iniciativas.
1 - Programa (para alterar dados impressos acesse: FINANCEIRO > Planejamento > Procedimentos > Manutenção > Despesa > Programa Estratégico)
Área de Resultado - a área de resultado só aparecerá logo abaixo do programa quando os mesmos forem vinculados no menu: FINANCEIRO > Planejamento > Procedimentos > Manutenção > Despesa > Vínculos > Área de Resultado com os Programas Estratégicos
1.2 - Órgãos responsáveis (para alterar dados impressos acesse: FINANCEIRO > Planejamento > Procedimentos > Manutenção > Despesa > Programa Estratégico - aba "Órgão")
1.3 - Objetivos dos programas (para alterar dados impressos acesse: FINANCEIRO > Planejamento > Procedimentos > Manutenção > Despesa > Programa Estratégico - aba "Objetivos")
1.3.1 - Metas do Objetivo (para alterar dados impressos acesse: FINANCEIRO > Planejamento > Procedimentos > Manutenção > Despesa > Programa Estratégico - aba "Objetivos" na lista, clicar no ícone "adicionar meta")
1.3.2 - Iniciativas (para alterar dados impressos acesse: FINANCEIRO > Planejamento > Procedimentos > Manutenção > Despesa > Iniciativas)
PDF da emissão dos Programas de gestão
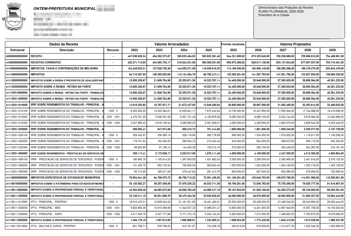
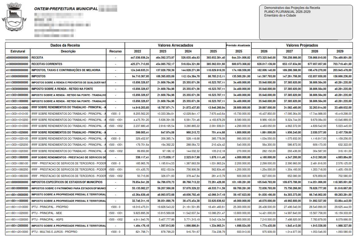
Emissão Demonstrativo de Projeções de receita
FINANCEIRO > Planejamento > Relatórios > Demonstrativos > Demonstrativo das Projeções da Receita
Para emitir emissão e conferência dos valores de Receita, acessar o menu e emitir.
Pode-se filtrar por natureza de receita e se deseja apresentar o valor agrupado por recurso:
1 - Emissão das projeções normalmente, com as naturezas de receita, os valores arrecadados de 4 anos anteriores, (para se basear) o valor base, que é a previsão atualizada e os valores projetados:
2 - Emissão das projeções com a compatibilidade de recursos, com as naturezas de receita, o valor base, que é a previsão atualizada e os valores projetados:
3 - Emissão das projeções normalmente, com as naturezas de receita, os valores arrecadados de 4 anos anteriores, (para se basear) o valor base, que é a previsão atualizada e os valores projetados, a diferença dessa emissão é que o sistema simula os percentuais da educação e saúde, para os municípios que não desdobram mais os estruturais:
Emissão do Demonstrativo de Projeções da despesa por elemento
FINANCEIRO > Planejamento > Relatórios > Demonstrativos > Projeções da Despesa por Elemento
Relatório de conferência para Entes que optaram por projetar a despesa até a nível de elemento:
O relatório possui filtros do Orçamento do órgão até o recurso, na aba Despesa; quando acessar a aba, será necessário clicar no ícone , para que o sistema carregue os dados;
Na caixa "Pesquisar", pode ser colocado qualquer texto ou número, se abaixo estiver o dado pesquisado, o sistema irá recarregar a tela e poderá ser selecionado todos, isso vale para todas as abas, desde o órgão até o recurso;
Após clicar no ícone de carregamento:
Pdf da emissão das Despesas por elemento.
Emissão do Demonstrativo de Projeções da despesa com agrupamentos
FINANCEIRO > Planejamento > Relatórios > Demonstrativos > Projeções da Despesa
Relatório de conferência para Entes que optaram por projetar a despesa até a nível de elemento:
O relatório pode ser agrupado separadamente ou por mais de um nível (segurando o Ctrl):
- Órgão
- Unidade
- Função
- Subfunção
- Programa
- Projeto/Atividade
- Elemento
- Recurso
PDF da emissão de despesas por Projeto/atividade e Elemento (um dos possíveis agrupamentos)
Emissão do demonstrativo de Projeções da despesa sintético
FINANCEIRO > Planejamento > Relatórios > Demonstrativos > Projeções da Despesa - Sintético
Relatório de conferência para Entes que optaram por projetar a despesa até a nível de Iniciativa:
O relatório pode ser emitido agrupado somente por programa ou por programa + iniciativa:
PDF da emissão das despesas por Programa + Iniciativa (um dos agrupamentos)
O principal objetivo deste relatório é conferir os valores já lançados dos programas e também das Iniciativas, verificando se o valor das Iniciativas totalizaram ou não os valores dos programas.
Emissão do Demonstrativo do Resumo da Projeção da Receita
FINANCEIRO > Planejamento > Relatórios > Demonstrativos > Resumo da Projeção da Receita
O relatório demonstra os valores consolidados por Origem da Receita:
PDF da emissão do resumo de Projeções de Receita
Emissão do relatório de Acompanhamento PPA/LDO
FINANCEIRO > Planejamento > Relatórios > Demonstrativos > Acompanhamento do PPA/LDO
O relatório de Acompanhamento dos planos de governo PPA e LDO com a possibilidade de comparação com o executado.
Escolha o plano de governo que deseja comparar;
Opções de filtro:
Órgão - âncora para seleção;
Programa - âncora para seleção;
Opções de escolha de apresentação: Regionalização, Produto, Metas físicas;
Escolha opcional de apresentar o comparativo com a execução orçamentária, pelo empenhado ou liquidado.
Quando o Plano de governo é o PPA, onde são registrados valores apenas nos Programas e Iniciativas (ações) o relatório irá demonstrar os valores até este nível, primeiramente apresentando o Programa, os órgãos e os objetivos, após são detalhadas as ações:
O valor do PPA será detalhado em cada iniciativa (ação) no quadro Metas Financeiras, representado diretamente pelo valor do cadastro da mesma; o valor de execução será o total de dotações agrupadas pela mesma iniciativa demonstrada. Ou seja, na emissão do Balancete da despesa para comparação, o nível deve ser sempre o Proj./atividade.
A quantidade de órgãos detalhados a cada programa, serão os órgãos salvos na manutenção do mesmo no Planejamento:
Planejamento > Procedimentos > Manutenção > Despesa > Programa Estratégico
Emissão do Comparativo Receita e despesa por recurso
FINANCEIRO > Planejamento > Relatórios > Demonstrativos > Comparativo Receita e despesa por recurso
O relatório demonstra as diferenças entre despesa e receita comparando o recurso.



















